Railway Recruitment Board (RRB) has recently completed the RRB JE 2024 recruitment process, and now aspirants are gearing up for the RRB JE 2025 CBT-1 exam. In this blog, we will discuss the cut-off for RRB JE 2024 CBT-1. We will also discuss the CBT-2 exam pattern and the study material required for RRB JE CBT-2. This blog will be beneficial for aspirants preparing for the RRB JE 2025 exam, as it will provide a rough idea of the CBT-1 cut-off for different zones and categories.
The Indian Railway Recruitment Board released 2,588 vacancies for the recruitment of Junior Engineer (JE), Depot Material Superintendent (DMS), and Chemical & Metallurgical Assistant (CMA) in 2025. The notification was released by the Indian Railway Recruitment Board on 28 October 2025.
Table of Contents
RRB JE 2025 Important Facts:
- The entire recruitment process shall involve the 1st stage Computer Based Test (CBT), 2nd stage CBT, and Document Verification/Medical Examination, as applicable. Selection will be made strictly as per merit, on the basis of CBTs. The date, time, and venue for all activities, viz. CBTs and DV or any other additional activity as applicable, shall be fixed by the RRB and intimated to eligible candidates in due course.
- CBT-1 is a screening test, that is, the exam is qualifying in nature. The marks obtained in CBT-1 will not be added while forming the final merit list for selection in the RRB exam for engineers.
- Zone-wise shortlisting of candidates for 2nd Stage CBT shall be done at the rate of 15 times (may increase or decrease as per the requirement of Railway Administration). The shortlisting of 2nd Stage CBT will be based on the merit of the candidates in 1st Stage CBT. The RRB-wise shortlisted candidates for 2nd Stage CBT shall be advised through the official websites of RRBs and e-mail to download their e-call letter for appearing in the 2nd Stage CBT.
- There shall be negative marking for incorrect answers in CBTs. One-third of the marks allotted for each question shall be deducted for each wrong answer.
- Candidates equal to the number of vacancies will be called for DV based on their merit in the 2nd Stage CBT and options. In addition, extra candidates will also be called over and above the number of vacancies to maintain a standby list of up to 50% of the notified vacancies.
- Shortlisting of candidates for DV shall be based on the normalized marks obtained by them in the 2nd Stage CBT. The normalization scheme shall be adopted for shortlisting candidates from the 1st Stage CBT to the 2nd Stage CBT.
RRB JE 2025 CBT-1 Pattern:
The duration of CBT-1 was 90 minutes (120 minutes for eligible PwBD candidates accompanied by a scribe). The 1st stage CBT is of a screening nature, and the standard of questions for the CBT will generally be in conformity with the educational standards and/or minimum technical qualifications prescribed for the posts. The normalized score of the 1st stage exam shall be used only for shortlisting candidates for the 2nd stage exam as per their merit.
The Questions were of objective type with multiple choices and included questions pertaining to:
- Mathematics: Number systems, BODMAS, Decimals, Fractions, LCM and HCF, Ratio and Proportion, Percentages, Mensuration, Time and Work, Time and Distance, Simple and Compound Interest, Profit and Loss, Algebra, Geometry, Trigonometry, Elementary Statistics, Square Root, Age Calculations, Calendar & Clock, Pipes & Cistern.
- General Intelligence and Reasoning: Analogies, Alphabetical and Number Series, Coding and Decoding, Mathematical operations, Relationships, Syllogism, Jumbling, Venn Diagram, Data Interpretation and Sufficiency, Conclusions and Decision Making, Similarities and Differences, Analytical reasoning, Classification, Directions, Statement – Arguments and Assumptions etc.
- General Awareness: Knowledge of Current affairs, Indian geography, culture and history of India including freedom struggle, Indian Polity and constitution, Indian Economy, Environmental issues concerning India and the World, Sports, General scientific and technological developments etc.
- General Science: Physics, Chemistry and Life Sciences (up to 10th Standard CBSE syllabus).
The section-wise Number of questions and marks are as below:
| Subjects | Stage-1 | |
| Number of questions | Marks for each section | |
| Mathematics | 30 | 30 |
| General Intelligence & Reasoning | 25 | 25 |
| General Awareness | 15 | 15 |
| General Science | 30 | 30 |
| Total | 100 | 100 |
| Time (in minutes) | 90 | |
*Minimum percentage of marks for eligibility in various categories, that is RRB JE cut off for qualifying CBT-1 is: UR -40%, OBC-30%, SC-30%, ST -25%. These percentage of marks for eligibility may be relaxed by 2% for PwBD candidates, in case of shortage of PwBD candidates against vacancies reserved for them.
RRB JE CBT 1 Cutoff
Dear RRB JE 2025 aspirants, As you all know, the Railway Recruitment Board (RRB) has released RRB JE Exam CBT-1 answer key. Candidates can now check their marks and responses using this answer key to assess their performance.
This blog would be highly useful for all those aspirants who appeared in the RRB JE 2025 CBT 1 examination, as it will help them check the previous year’s cutoff for various RRB zones. This will give an idea of the competition level and will also help candidates get a rough idea of whether they would be shortlisted for the next stage.
The cutoff for different railway zones is given below.
RRB JE 2024 CBT 1 Cut-off
RRB JE 2024 CBT 1 result was declared on 5th March 2025. Below we are providing the zone wise and department wise cut-off of different categories.
RRB JE Ahmedabad cut-off 2024
| CAT No. | UR | SC | ST | OBC-NCL | EWS | ESM |
| 4 | 73.36208 | 63.25915 | 57.19298 | 68.42338 | 56.10116 | 45.07525 |
| 6 | 69.90304 | — | — | — | 52.3004 | — |
| 7 | 62.35128 | 54.73684 | 52.8485 | 55.29288 | 42.73758 | 50.47094 |
| 8 | 75.10787 | 63.15040 | — | 72.33385 | — | — |
| 9 | 50.79561 | 37.20342 | 44.4006 | 38.62169 | 40.6437 | — |
| 10 | 63.18164 | 46.79281 | 55.4457 | 48.93928 | 40.30587 | — |
| 12 | 68.71205 | 47.86921 | 55.25741 | 48.05364 | 40.40649 | 45.65779 |
| 14 | 73.40426 | — | — | — | — | — |
| 16 | 65.61403 | 52.13936 | 46.47721 | 53.63857 | 40.35966 | 51.57551 |
| 17 | 73.35652 | 56.18103 | — | 69.18761 | 65.96297 | 52.52004 |
| 18 | 69.47472 | 54.66704 | 46.07913 | 59.05748 | 41.40758 | 51.92982 |
| 19 | 65.96208 | 56.11404 | 49.24039 | 57.99865 | 51.77305 | 54.55075 |
| 30 | 61.00421 | 51.77395 | 47.77935 | 53.0026 | 40.40649 | 56.84211 |
| 32 | 75.73421 | — | — | — | — | — |
RRB JE Ajmer cut-off 2024
| CAT No. | UR | SC | ST | OBC-NCL | EWS | ESM |
| 4 | 81.51551 | 75.08772 | — | 78.08003 | 65.37460 | — |
| 5 | 73.75672 | 65.25979 | 64.68927 | 70.10128 | 59.49925 | 34.74347 |
| 7 | 70.18564 | 64.55208 | 59.62224 | 66.66666 | 52.90658 | 31.59975 |
| 8 | — | — | — | — | 69.15053 | — |
| 9 | 51.51045 | 45.61403 | 44.91439 | 44.27867 | 40.81016 | 31.30600 |
| 10 | 71.25574 | 64.12922 | — | 69.58594 | 58.52118 | — |
| 12 | 63.01845 | 49.57342 | 50.37564 | 53.90529 | 40.00095 | 40.00095 |
| 15 | 67.22086 | 59.64913 | 49.05542 | 55.31549 | 42.55319 | 41.04052 |
| 16 | 73.41598 | 69.85427 | — | 69.03172 | 64.83057 | 36.14959 |
| 17 | 73.16038 | 65.25041 | 60.70176 | 69.50134 | 60.96706 | 30.81186 |
| 18 | 71.96571 | — | — | — | — | — |
| 23 | 78.36952 | 69.67163 | 71.27660 | 74.39643 | 72.16906 | 41.40351 |
| 24 | 71.93786 | — | — | 69.49500 | — | — |
| 25 | 79.16500 | — | — | — | — | — |
| 26 | 74.89920 | — | — | 62.07205 | — | — |
| 28 | 74.14404 | — | — | 68.76413 | — | 30.87096 |
| 30 | 70.87719 | — | — | 68.07847 | 51.41753 | 32.97872 |
| 32 | 77.62428 | 69.13314 | 70.96835 | 74.89920 | 70.32690 | 42.17240 |
RRB JE Bhuvneshwar cut-off 2024
| CAT No. | UR | SC | ST | OBC-NCL | EWS | ESM |
| 7 | 81.73742 | — | — | — | 60.42427 | — |
| 9 | 52.63158 | 39.84650 | 39.07298 | 43.01095 | 40.29540 | — |
| 10 | 61.64726 | 54.42292 | 43.15789 | 57.22216 | 40.00000 | 31.13180 |
| 12 | 61.46598 | 47.60366 | 44.36110 | 49.87675 | 41.50936 | — |
| 15 | 64.56140 | 50.69117 | 43.01095 | 56.54477 | 40.10620 | 39.16881 |
| 16 | — | — | — | 67.01755 | — | — |
| 26 | 79.95000 | — | 45.96492 | 73.62245 | 58.45445 | 35.09046 |
| 28 | 72.98583 | 61.58809 | 41.62229 | 71.36401 | — | — |
| 30 | — | — | — | 65.60957 | — | — |
RRB JE Bangalore cut-off 2024
| CAT No. | UR | SC | ST | OBC-NCL | EWS | ESM |
| 3 | 71.57895 | 61.73448 | 54.70608 | 65.96065 | 59.62400 | 41.40591 |
| 4 | 68.43971 | 57.49485 | — | 64.20656 | 59.59836 | — |
| 5 | — | — | — | — | — | — |
| 7 | 59.18581 | 50.68578 | 45.04549 | 53.34922 | 40.91863 | 53.57539 |
| 8 | 66.82834 | — | 49.91397 | 61.75409 | 50.83568 | 50.83568 |
| 9 | 55.74346 | 45.94452 | 47.71929 | 50.50102 | 40.31856 | — |
| 10 | 68.08286 | 58.75299 | 57.52606 | 63.15789 | 55.45071 | — |
| 11 | 73.97721 | 62.08895 | 61.73271 | 66.71300 | — | — |
| 12 | 63.49486 | 51.85731 | 52.48569 | 57.83732 | 42.15587 | — |
| 15 | 53.58716 | 48.66183 | 40.24413 | — | 40.22229 | 40.79361 |
| 16 | 58.97472 | 51.44605 | 43.12539 | 54.71678 | 42.81494 | 40.25814 |
| 17 | 64.20656 | 55.06001 | 48.18308 | 57.89222 | 48.34471 | 30.45575 |
| 20 | 67.94244 | — | 49.12299 | 63.49324 | 49.51375 | 52.95995 |
| 24 | 63.83367 | — | — | — | — | — |
| 26 | — | — | — | — | — | — |
| 28 | 67.01755 | — | — | — | — | — |
| 30 | 64.55324 | 54.51463 | — | 57.21912 | 50.64988 | 47.78845 |
| 32 | 74.73984 | 62.24138 | 58.97472 | 68.01064 | 64.80639 | 32.98122 |
RRB JE Bilaspur cut-off 2024
| CAT No. | UR | SC | ST | OBC-NCL | EWS | ESM |
| 4 | 78.51050 | 72.59886 | — | 77.06884 | — | — |
| 5 | 70.89884 | 62.30448 | 62.92423 | 68.96626 | 58.15603 | 69.67637 |
| 7 | 67.84479 | 58.43013 | 53.92249 | 64.90301 | 43.51452 | 43.64278 |
| 9 | 64.20522 | 51.24901 | 44.50833 | 59.28314 | 51.13471 | — |
| 10 | 71.98582 | 62.09666 | 59.60174 | 70.52632 | 65.82813 | — |
| 12 | 71.57895 | 61.00457 | 58.90060 | 68.78178 | 65.60403 | — |
| 15 | 68.43149 | 59.96080 | 54.28227 | 65.60625 | 51.34760 | 62.92423 |
| 16 | 74.75676 | 64.91212 | 56.49141 | 73.23013 | 63.13921 | 40.20026 |
| 18 | 72.99252 | 66.45931 | — | — | — | — |
| 24 | 71.99087 | — | — | — | — | — |
| 26 | 75.69294 | — | — | — | — | — |
| 28 | 68.82623 | 65.61320 | — | 67.81216 | 57.18788 | 34.79344 |
| 30 | 66.66667 | 57.96881 | 56.18701 | 63.84998 | 44.63858 | 45.98158 |
RRB JE Bhopal cut-off 2024
| CAT No. | UR | SC | ST | OBC-NCL | EWS | ESM |
| 3 | — | — | — | — | 79.55777 | 45.89922 |
| 4 | 82.93455 | 73.15276 | 69.14894 | 81.55977 | 65.58880 | 45.89922 |
| 5 | 75.87923 | 69.13251 | 63.13176 | 73.90160 | 71.57062 | 50.59410 |
| 7 | 72.32897 | 66.66667 | 65.26025 | 70.89501 | 67.02076 | 50.26764 |
| 9 | 62.45015 | 54.25522 | 57.47084 | 57.75059 | 54.67306 | 42.16808 |
| 10 | 69.40785 | 60.31753 | 64.90578 | 64.59469 | 63.48023 | — |
| 12 | 69.30194 | 58.55764 | 63.15176 | 64.72297 | 62.42783 | — |
| 15 | 69.96457 | 63.98481 | 57.47680 | 67.37017 | 64.41900 | 43.69874 |
| 16 | 76.83983 | 67.93841 | 61.36279 | 74.71014 | 70.21264 | 41.40290 |
| 17 | 82.56416 | 75.47689 | 73.42107 | 80.26240 | 74.76049 | — |
| 18 | 76.89822 | 68.44134 | — | — | — | — |
| 23 | 76.57566 | — | 64.55557 | 61.62315 | 62.45614 | 47.17469 |
| 24 | 74.96943 | — | 60.78823 | 73.75004 | 69.01139 | 66.66667 |
| 26 | — | — | 67.37017 | — | 75.34621 | — |
| 28 | 76.24114 | 70.57671 | 63.94817 | 73.08135 | 70.56761 | 35.95436 |
| 30 | 74.38597 | — | 60.68330 | 72.10554 | 68.78237 | 35.95436 |
| 32 | 84.12578 | 74.89732 | 68.00000 | 82.26950 | 78.63075 | 36.20728 |
RRB JE Chennai cut-off 2024
| CAT No. | UR | SC | ST | OBC-NCL | EWS | ESM |
| 3 | 78.37373 | 70.15312 | 61.39943 | 75.08772 | 72.51692 | 33.30907 |
| 4 | 72.98245 | 66.66666 | 58.20579 | 71.54810 | 65.23651 | 31.22807 |
| 5 | 70.41356 | 60.70176 | 56.13884 | 69.50611 | 52.18386 | 44.59469 |
| 7 | 69.31526 | 60.63957 | 53.67711 | 68.77193 | 50.31662 | 40.24216 |
| 8 | 77.10602 | 59.23928 | 64.19854 | 76.81434 | 41.11348 | 42.63636 |
| 9 | 56.37754 | 42.89038 | 38.95694 | 52.94972 | 41.13486 | 43.33334 |
| 10 | 62.79553 | 44.99998 | 39.19495 | 54.49721 | 41.21463 | — |
| 12 | 60.60776 | 44.75509 | 39.10145 | 55.84798 | 41.57328 | — |
| 15 | 70.85641 | 60.60507 | 53.32854 | 68.68676 | 44.20474 | 35.12757 |
| 16 | 70.65925 | 63.12425 | 53.65405 | 69.72976 | 54.29558 | 39.89474 |
| 17 | 75.03121 | 64.56140 | 57.50279 | 72.06377 | 62.08227 | 39.49971 |
| 18 | 75.90607 | 64.56140 | 52.40134 | 70.92894 | 44.73270 | — |
| 20 | 71.71835 | 61.75340 | 53.68421 | 69.99317 | 56.14035 | 42.40856 |
| 23 | 78.77802 | 65.86182 | 65.95745 | 75.42752 | 69.09932 | 36.80698 |
| 24 | 73.37445 | — | 52.05895 | — | 56.14035 | — |
| 25 | — | — | — | — | — | — |
| 28 | 72.94656 | 65.25183 | 57.12262 | 72.87996 | 61.74004 | — |
| 30 | 70.94542 | 62.31999 | 52.73030 | 70.84915 | 48.92334 | 34.31206 |
| 31 | 71.18620 | 61.72668 | 55.43807 | 70.89970 | 52.58676 | — |
| 32 | 78.37555 | 74.40900 | 70.39670 | 76.56338 | 50.82555 | — |
RRB JE Chandigarh cut-off 2024
| CAT No. | UR | SC | ST | OBC-NCL | EWS | ESM |
| 4 | 78.37082 | 68.10727 | 62.45259 | 73.84894 | 62.42183 | 56.53025 |
| 5 | 72.99031 | 65.88354 | 46.59946 | 66.66667 | 49.44741 | 40.37473 |
| 7 | 71.53443 | 66.31345 | 43.95645 | 65.25022 | 47.45137 | 30.50303 |
| 9 | 59.64913 | 54.26556 | 48.87833 | 47.75356 | 44.22250 | 44.21053 |
| 10 | 71.26756 | 63.46221 | 49.67679 | 61.70358 | 60.64758 | — |
| 12 | 65.83943 | 55.91016 | 42.31397 | 51.69446 | 52.87161 | 50.85062 |
| 15 | 70.08558 | 63.50877 | 37.56217 | 63.99883 | 40.00000 | 44.91228 |
| 16 | 72.37868 | 69.22817 | 41.84217 | 65.26180 | 54.60993 | 36.48921 |
| 17 | 74.36562 | 72.00911 | 43.68117 | 67.98408 | 52.16069 | 34.58653 |
| 26 | 81.25295 | 69.82618 | 57.13593 | 75.56010 | 64.69358 | 54.20850 |
| 28 | 76.36806 | 68.77868 | — | 73.94406 | — | — |
| 30 | 76.14035 | — | — | 71.93718 | — | — |
| 32 | 78.29424 | 69.82618 | 69.21465 | 72.65015 | 65.37244 | 63.15789 |
RRB JE Gorakhpur cut-off 2024
| CAT_NO | UR | SC | ST | OBC | EWS | ESM |
| 1 | 78.78806 | 66.21826 | 53.66980 | 45.44042 | ||
| 2 | 74.48487 | 57.84336 | 52.36645 | 56.46343 | 43.22232 | |
| 3 | 91.86147 | 70.48407 | 55.37881 | |||
| 4 | 76.63230 | |||||
| 5 | 70.79038 | 63.22599 | 41.68133 | 66.13471 | 67.35812 | |
| 6 | 81.95378 | 68.92408 | ||||
| 7 | 62.00299 | 64.94855 | ||||
| 8 | 74.38588 | 66.37961 | 48.84655 | 72.38666 | 41.07326 | |
| 9 | 60.78959 | 51.51203 | 30.88729 | 57.86372 | 40.61024 | 52.08333 |
| 10 | 72.39810 | 65.62927 | 43.84238 | 68.20665 | ||
| 12 | 66.21826 | 53.60216 | 42.08407 | 58.38925 | 40.37942 | 60.58486 |
| 13 | 67.83710 | 59.78620 | 32.70257 | 56.32251 | ||
| 15 | 69.09722 | 61.51271 | 38.72078 | 68.52740 | 62.50000 | 43.73067 |
| 16 | 74.83089 | 65.28182 | 38.86221 | 72.83507 | 67.69897 | 33.34912 |
| 17 | 73.21664 | 63.56893 | 40.14779 | 71.18055 | 40.57434 | |
| 18 | 70.82091 | 62.92809 | 70.11028 | |||
| 21 | 83.44228 | 67.80361 | ||||
| 22 | 81.44330 | 68.80202 | 51.88653 | 71.14583 | ||
| 23 | 78.69415 | 68.04539 | 58.87985 | 75.21651 | 42.39581 | |
| 24 | 70.47049 | 70.11028 | ||||
| 28 | 75.61031 | 70.84391 | ||||
| 29 | 61.45833 | 49.21003 | 72.58350 | 37.40432 | ||
| 30 | 70.59334 | 62.15613 | 39.92272 | 70.10309 | 40.27778 | |
| 32 | 78.69415 | 70.80654 | 54.79931 | 74.88346 | 72.18073 | 54.95621 |
RRB JE Guwahati cut-off 2024
| CAT_NO | UR | SC | ST | OBC-NCL | EWS | ESM |
| 3 | 80.33407 | |||||
| 4 | 69.41588 | 51.51141 | 49.76206 | 61.03165 | 41.24488 | 27.64162 |
| 8 | 76.96043 | 63.49773 | 72.26186 | 48.69129 | 31.22186 | |
| 9 | 51.49458 | 42.07271 | 45.49105 | 38.24561 | 40.21319 | 41.99431 |
| 10 | 62.10005 | 50.50666 | 56.82983 | 42.70635 | ||
| 12 | 64.18810 | 46.98734 | 54.10352 | 51.95514 | 40.25424 | |
| 15 | 65.95127 | 50.52228 | 49.67222 | 59.99903 | 40.70176 | 40.12567 |
| 16 | 69.73904 | 54.26225 | 51.81463 | 61.70159 | 40.93817 | 44.23954 |
| 17 | 77.16967 | 62.77769 | 73.68421 | 55.28830 | ||
| 23 | 81.54232 | 73.80091 | 58.70559 | 76.44492 | 54.37489 | |
| 26 | 76.13964 | 61.04790 | 66.66667 | 40.68109 | 34.94957 | |
| 28 | 68.77789 | 53.22524 | 62.08955 | 49.68421 | 40.16061 | |
| 30 | 66.31545 | 50.49181 | 53.88499 | 60.28369 | 44.26455 | |
| 31 | 72.57640 | 54.69812 | ||||
| 32 | 74.38597 | 60.18812 | 54.37599 | 68.73888 | 54.34555 | 45.14466 |
RRB JE Jammu-Srinagar cut-off 2024
| CAT_NO | UR | SC | ST | OBC-NCL | EWS | ESM |
| 3 | 69.53018 | 62.78300 | 41.02462 | |||
| 7 | 74.61111 | |||||
| 9 | 61.63071 | 46.69409 | 48.13726 | 47.04112 | 40.28857 | |
| 10 | 65.99665 | 42.55319 | 48.53799 | 46.17761 | 41.56656 | |
| 11 | 71.52979 | 41.70063 | ||||
| 12 | 62.44632 | 41.89121 | 46.69409 | 42.34979 | 41.02462 | |
| 16 | 76.55711 | 65.61237 | 51.90032 | 68.79433 | 62.44876 | 40.35087 |
| 17 | 68.07276 | 45.32264 | 80.99514 | 57.27497 | ||
| 20 | 65.25965 | 56.29447 | 39.31105 | 57.49242 | 40.28857 | 44.17118 |
| 23 | 76.12602 | 74.61111 | 71.13958 | 41.46707 | ||
| 27 | 68.75390 | |||||
| 30 | 68.40800 | 62.07764 | ||||
| 32 | 77.64219 | 68.78599 | 53.90071 | 72.32916 | 63.14047 | 46.83089 |
RRB JE Kolkata cut-off 2024

RRB JE Malda cut-off 2024

RRB JE Mumbai cut-off 2024

RRB JE Muzaffarpur cut-off 2024
| CAT_NO | UR | SC | ST | OBC-NCL | EWS | ESM |
| 9 | 48.07237 | 31.41945 | 37.65313 | 41.04746 | ||
| 10 | 63.44346 | 32.99309 | 47.08609 | |||
| 12 | 59.88973 | 48.49291 |
RRB JE Patna cut-off 2024
| CAT_NO | UR | SC | ST | OBC-NCL | EWS | ESM |
| 9 | 62.06172 | 50.73637 | 54.20666 | 50.48690 | ||
| 10 | 61.73962 | 44.74481 | 29.09805 | 56.32585 | 47.69910 | |
| 12 | 74.75830 | 53.80945 | 65.24906 | 53.14813 | ||
| 15 | 68.43971 | 39.68592 | 25.58278 | 59.17732 | 40.23000 | 30.09835 |
| 16 | 66.20605 | 53.41930 | ||||
| 19 | 82.60311 | |||||
| 23 | 53.78579 | |||||
| 26 | 81.00243 | |||||
| 28 | 82.02453 | |||||
| 32 | 84.78348 | 75.15726 |
RRB JE Pryagraj cut-off 2024
| CAT_NO | UR | SC | ST | OBC-NCL | EWS | ESM |
| 3 | 80.47116 | 73.74597 | 59.93720 | 79.04800 | 76.96639 | 58.88940 |
| 4 | 80.43100 | 74.12307 | ||||
| 5 | 77.12903 | 69.13027 | 49.40763 | 75.83229 | 67.41184 | 41.48844 |
| 7 | 72.76501 | 68.86251 | 49.99488 | 71.97786 | 68.07385 | 35.79855 |
| 9 | 62.44311 | 57.44887 | 48.22695 | 59.48732 | 57.05271 | 46.09929 |
| 10 | 71.60196 | 66.71793 | 54.02748 | 68.20934 | 66.71793 | 60.15286 |
| 12 | 69.29871 | 62.45614 | 55.47117 | 66.66666 | 64.53989 | 52.70872 |
| 15 | 71.82431 | 65.60380 | 41.50363 | 69.98921 | 62.82962 | 37.94251 |
| 16 | 79.43263 | 73.04965 | 51.92982 | 69.50354 | 56.43729 | |
| 17 | 80.79660 | 72.30512 | 54.60993 | 79.31260 | 72.59881 | 62.80420 |
| 18 | 78.72195 | |||||
| 23 | 76.37306 | 65.12462 | 48.68686 | |||
| 26 | 81.53352 | |||||
| 28 | 78.54393 | 68.08057 | 52.86467 | 75.01004 | 68.86899 | 58.05547 |
| 30 | 73.34791 | 65.18070 | 41.31236 | 70.99295 | 63.15366 | 28.39929 |
| 32 | 78.49705 | 66.31218 | 79.54370 |
RRB JE Ranchi cut-off 2024
| CAT_NO | UR | SC | ST | OBC-NCL | EWS | ESM |
| 4 | 72.40425 | 62.05802 | 68.76869 | 57.52397 | 45.26316 | |
| 5 | 64.38111 | 48.81699 | 51.41844 | 57.50758 | 40.00000 | |
| 7 | 61.00876 | 43.60121 | 49.29078 | 54.03263 | 40.92767 | 40.72880 |
| 9 | 47.12177 | 31.36037 | 36.50929 | 32.99325 | 43.06148 | |
| 10 | 59.94413 | 33.61590 | 39.27079 | 48.27674 | 41.56407 | |
| 12 | 64.75275 | 49.41620 | 37.37384 | 53.99929 | 46.42478 | |
| 16 | 68.17133 | 59.46691 | 52.33984 | 57.13412 | 40.72880 | 46.80641 |
| 18 | 65.85637 | 62.41678 | ||||
| 19 | 68.40791 | 53.21331 | 65.19060 | |||
| 24 | 62.76669 | 47.12244 | 57.18861 | |||
| 28 | 66.66667 | 43.26416 | 55.06132 | 62.45614 | 42.45614 | 43.64767 |
| 30 | 60.70176 | 49.63207 | 53.21125 | 56.07807 | 44.61109 |
RRB JE Secundrabad cut-off 2024
| CAT_NO | UR | SC | ST | OBC-NCL | EWS | ESM |
| 3 | 82.81454 | 73.92500 | 77.87785 | 74.29177 | 33.33333 | |
| 4 | 76.30984 | 67.87610 | 62.80133 | 75.23310 | 71.94594 | 33.61284 |
| 5 | 71.99085 | 64.52129 | 62.77946 | 70.85648 | 64.90143 | 54.98248 |
| 7 | 70.87719 | 63.47834 | 61.00556 | 69.48779 | 63.50066 | 37.16493 |
| 8 | 76.48945 | 67.13394 | ||||
| 9 | 61.53330 | 50.01946 | 53.60216 | 56.08236 | 47.89019 | 41.70667 |
| 10 | 69.81656 | 59.89454 | 62.74809 | 66.93508 | 59.29824 | 39.00053 |
| 12 | 72.98245 | 56.16324 | 59.98201 | 65.60971 | 55.69616 | |
| 15 | 70.54233 | 64.52547 | 69.19483 | 63.85965 | 38.12838 | |
| 16 | 78.62226 | 68.42105 | ||||
| 17 | 77.44486 | 66.98358 | 69.13953 | 76.57128 | 70.52632 | 32.62596 |
| 18 | 76.30984 | 66.51982 | 75.92837 | |||
| 23 | 75.87232 | 61.37655 | ||||
| 24 | 74.14857 | 66.30961 | ||||
| 26 | 76.03826 | 66.87121 | 63.49082 | 73.92511 | 66.38463 | 36.81372 |
| 28 | 74.97900 | 66.31020 | 60.86957 | 73.64347 | 41.66725 | |
| 30 | 71.59891 | 65.25695 | 60.67646 | 71.53765 | 66.31463 | 32.62171 |
| 31 | 73.68421 | 73.30138 | ||||
| 32 | 78.23265 | 67.87610 | 68.68180 | 75.08772 | 47.67151 |
RRB JE Siliguri cut-off 2024
| CAT_NO | UR | SC | ST | OBC-NCL | EWS | ESM |
| 4 | 63.74946 | 49.32787 | 60.06945 | 40.02773 | 30.92706 | |
| 10 | 48.47431 | 32.01246 | ||||
| 12 | 46.14175 | |||||
| 18 | 65.29209 | 40.89347 | 49.41383 | 44.55348 | ||
| 24 | 60.13745 | |||||
| 28 | 56.01374 | |||||
| 30 | 60.34149 | 44.13647 | 49.30728 |
RRB JE Thiruvananthapuram cut-off 2024
| CAT_NO | UR | SC | ST | OBC-NCL | EWS | ESM |
| 4 | 72.52194 | 47.42268 | – | 65.97938 | 40.37992 | 51.51103 |
| 7 | 68.25294 | 43.92951 | 38.37327 | 62.88544 | 47.05589 | 32.98649 |
| 9 | 65.97938 | 51.15592 | 41.27179 | 53.09933 | 40.68762 | – |
| 12 | 64.24977 | 47.26385 | – | 60.94459 | 40.89347 | – |
| 16 | 69.26485 | 42.43471 | 34.72222 | 65.60623 | 41.69126 | 40.54982 |
| 28 | 72.52194 | 47.32847 | 40.72484 | 68.71422 | – | 54.50555 |
| 30 | 68.72116 | – | – | 68.01565 | – | – |
RRB JE Zone-wise Cut Off 2019
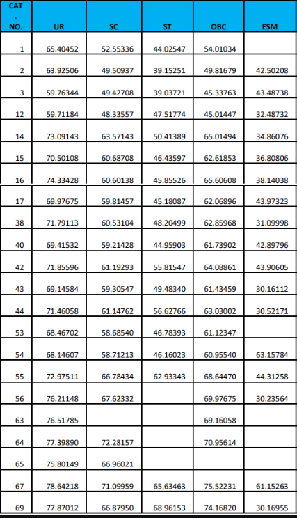
RRB JE Ahmedabad
| CAT. NO | UR | SC | ST | OBC | ESM |
| 2 | 53.25348 | 35.06620 | 41.59817 | 39.86589 | — |
| 3 | 45.52974 | 31.88724 | 33.45616 | 31.72867 | — |
| 12 | 44.99854 | 30.01860 | 33.28563 | 31.48444 | — |
| 13 | 61.06358 | 32.93073 | — | — | — |
| 15 | 66.46342 | 56.08357 | 49.51838 | 61.74129 | 31.96158 |
| 17 | 67.36059 | 55.51992 | 47.31553 | 60.71196 | 49.46823 |
| 38 | 69.87404 | 59.34134 | 47.88220 | 62.43218 | 44.30746 |
| 40 | 63.31618 | 52.73865 | 46.92959 | 58.22593 | — |
| 44 | 63.57525 | 54.49308 | 50.15006 | 59.98525 | 34.69211 |
| 53 | 62.70333 | 53.20884 | 47.60106 | 58.17809 | 40.29673 |
| 54 | 62.22532 | — | — | 57.59740 | — |
| 55 | 69.67396 | — | — | — | — |
| 63 | 62.22532 | 53.10968 | 47.31553 | 60.85183 | 33.52399 |
| 64 | 61.47288 | 52.72739 | — | 59.55051 | 49.84121 |
| 65 | 70.16801 | — | — | — | — |
| 67 | 75.60839 | 63.14611 | 55.61583 | 71.11258 | 49.68305 |
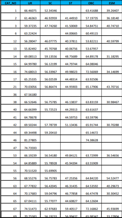
RRB JE Ajmer
| CAT. NO | UR | SC | ST | OBC | ESM |
| 1 | 77.70949 | — | 65.37125 | 76.36466 | — |
| 2 | 74.27455 | 62.57181 | 66.19239 | 67.28499 | — |
| 3 | 62.99405 | 53.81591 | 56.14454 | 59.07966 | 52.68087 |
| 12 | 68.69704 | 57.04236 | 59.39956 | 62.06896 | — |
| 14 | 72.39253 | 63.56167 | 58.76163 | 69.53476 | 40.39069 |
| 15 | 72.19233 | 63.18232 | 58.71079 | 69.45906 | 41.50199 |
| 16 | — | 68.61531 | — | — | — |
| 17 | 74.16084 | 63.33771 | 60.68279 | 70.93252 | — |
| 36 | 80.23648 | 65.01235 | — | — | — |
| 38 | 76.82066 | 65.41517 | 61.62708 | 71.99399 | 34.13208 |
| 40 | 73.17724 | 63.34910 | — | 70.54768 | — |
| 41 | 75.03689 | — | — | — | — |
| 42 | 83.45284 | — | — | — | — |
| 44 | 75.14445 | 64.49971 | 65.33778 | 71.46935 | 40.40863 |
| 53 | 74.71555 | 64.96564 | 61.47350 | 70.38691 | 30.70288 |
| 54 | 73.27371 | 64.26223 | — | 70.03056 | — |
| 55 | 74.79793 | 65.69041 | 62.90725 | 71.90175 | 36.54512 |
| 56 | 82.16992 | — | 62.27668 | 76.34236 | — |
| 63 | 76.44474 | 65.24083 | 61.37855 | 71.83130 | 32.12625 |
| 64 | 78.29861 | 66.46178 | 66.19239 | 74.70245 | — |
| 67 | 83.63765 | 75.77912 | — | 80.29503 | 45.44286 |
RRB JE Allahabad
| CAT. NO | UR | SC | ST | OBC | ESM |
| 1 | 74.60790 | — | 51.48546 | — | — |
| 2 | 69.47909 | 59.89960 | 43.41653 | 62.61853 | — |
| 3 | 61.19293 | 51.63463 | 37.64559 | 53.52780 | 35.44915 |
| 12 | 63.14717 | 53.67956 | 37.55573 | 56.89383 | 34.76053 |
| 13 | 74.20158 | — | — | — | — |
| 14 | 72.61195 | 64.89178 | 48.79581 | 69.05575 | 30.47051 |
| 15 | 70.02304 | 61.81037 | 43.01088 | 66.96709 | 35.53451 |
| 16 | 85.05440 | — | — | — | — |
| 17 | 72.88119 | 61.78648 | 42.50262 | 68.55276 | 39.96647 |
| 21 | 85.67314 | 72.35133 | 58.44167 | — | — |
| 38 | 73.81147 | 62.35192 | 46.51188 | 69.57522 | 33.87272 |
| 40 | 69.99863 | 61.48022 | 42.73863 | 66.95645 | — |
| 42 | 78.08099 | 66.88128 | 50.92524 | — | 49.36264 |
| 44 | 70.37213 | 61.61604 | 54.57937 | 66.75144 | 38.90320 |
| 46 | — | — | 51.62789 | — | — |
| 53 | 69.21340 | 60.68279 | 44.99100 | 66.22771 | 35.08041 |
| 54 | 68.72988 | 60.33647 | 47.29151 | 66.03098 | 40.91908 |
| 55 | 72.62834 | 61.64980 | 56.41646 | 68.76543 | 36.28172 |
| 56 | 81.96695 | 67.46957 | — | 77.82375 | — |
| 63 | 74.80704 | 65.17979 | 51.82763 | 69.71726 | 30.79335 |
| 64 | 73.63417 | 65.01235 | 49.16487 | 69.30866 | 33.15483 |
| 67 | 84.69523 | 74.57163 | 64.28927 | — | 63.97751 |
| 69 | 70.31581 | 55.97775 | 56.57277 | 69.66912 | 32.01582 |
RRB JE Bengaluru
| CAT. NO | UR | SC | ST | OBC | ESM |
| 1 | 52.39894 | 39.34235 | 42.61583 | 47.49806 | — |
| 2 | 54.00426 | 38.70965 | 37.50507 | 46.92165 | — |
| 3 | 51.49110 | 39.17212 | 38.67673 | 44.39609 | — |
| 4 | 72.66640 | — | — | 60.78910 | — |
| 6 | 56.20048 | 45.85526 | — | 51.68546 | — |
| 12 | 47.91714 | 37.37765 | 37.01875 | 43.20405 | — |
| 14 | 64.78144 | 53.36213 | 50.69366 | 59.14806 | 30.10626 |
| 15 | 61.29564 | 50.64353 | 46.96019 | 57.54739 | — |
| 16 | 78.40512 | — | — | 71.92629 | — |
| 17 | 61.75744 | 50.32359 | 46.28992 | 57.43567 | — |
| 21 | 65.37125 | 51.17710 | — | 58.90463 | 39.13662 |
| 38 | 63.99488 | 51.22601 | 50.05484 | 58.13855 | 43.97323 |
| 40 | 60.89921 | 50.15148 | 46.23927 | 57.41351 | — |
| 42 | 72.87135 | — | 48.54983 | 67.17063 | 45.33553 |
| 44 | 62.55048 | 50.81305 | 46.99061 | 57.75845 | — |
| 46 | 66.19413 | 51.73334 | 57.42126 | 60.76672 | 37.44362 |
| 53 | 63.49733 | 51.92146 | 49.17094 | 58.05349 | 30.05988 |
| 55 | 62.90725 | 52.30173 | — | 61.74129 | 44.75803 |
| 56 | 70.12727 | 57.91935 | 46.42132 | 66.01043 | 55.63629 |
| 63 | 65.70406 | 53.93327 | 47.85075 | 60.17173 | 38.39165 |
| 64 | 64.88324 | 52.83028 | 46.31435 | 59.93672 | 40.97389 |
| 67 | 76.01406 | 62.26098 | — | 71.24124 | 48.22619 |
| 68 | 73.38947 | — | — | — | — |
| 69 | 59.22405 | 44.63796 | 47.69303 | 53.38286 | 41.37131 |
RRB JE Bhopal
| CAT. NO | UR | SC | ST | OBC | ESM |
| 1 | 70.72121 | — | — | 57.58973 | — |
| 2 | 66.52646 | 50.53244 | 41.85874 | 57.74010 | — |
| 3 | 55.52505 | 44.91439 | 39.26316 | 45.52974 | — |
| 12 | 60.68279 | — | — | 57.11288 | — |
| 14 | 66.65819 | 56.64053 | 47.92799 | 62.27668 | 41.81364 |
| 15 | 65.98347 | 55.43766 | 46.13837 | 62.18268 | — |
| 16 | 75.76976 | 60.32087 | 45.96707 | 70.37851 | — |
| 17 | 68.28629 | 55.32900 | 46.11230 | 63.26399 | 51.11467 |
| 38 | 72.33650 | 62.09948 | 53.50269 | 67.89250 | 30.93571 |
| 40 | 66.25932 | 55.67028 | 46.86824 | 62.54735 | — |
| 42 | 76.14077 | 55.00964 | — | 68.70363 | — |
| 44 | 71.11353 | 54.73442 | — | 65.28301 | 47.48398 |
| 53 | 67.72773 | 56.69259 | 49.77825 | 62.75501 | 40.91251 |
| 54 | 65.83403 | 54.81124 | 48.11275 | 61.97072 | 50.68160 |
| 55 | 69.79490 | — | — | — | — |
| 56 | — | — | — | — | — |
| 63 | 73.15733 | 58.74618 | 51.51156 | 65.02591 | 34.51750 |
| 64 | 72.49210 | 58.98841 | 51.82174 | 65.41517 | 55.77077 |
| 67 | 78.29861 | 67.96877 | 58.64316 | 72.89635 | 50.78141 |
| 69 | 68.08488 | 56.08357 | — | 65.66763 | 43.82975 |
RRB JE Bhubaneshwar
| CAT_NO | UR | SC | ST | OBC | ESM |
| 1 | 44.59753 | 50.41389 | |||
| 2 | 56.70161 | 35.28326 | 35.01443 | 37.50268 | |
| 3 | 51.06650 | 36.71108 | 35.06620 | 34.72894 | |
| 12 | 49.17094 | 33.69913 | 33.05410 | 32.31686 | 30.52917 |
| 14 | 66.30697 | 53.04275 | 47.48416 | 60.29718 | 30.08345 |
| 15 | 67.54625 | 48.56973 | 51.77828 | 60.08234 | 48.74712 |
| 38 | 70.90586 | 55.41770 | 69.07926 | 35.34295 | |
| 42 | 69.35544 | 47.21005 | 46.72438 | 66.84682 | 54.23408 |
| 44 | 69.39826 | 51.55810 | 49.25429 | 60.81435 | 30.50142 |
| 53 | 64.76388 | 48.28032 | 45.43388 | 58.62758 | |
| 54 | 64.21707 | 46.68809 | 44.88907 | 57.87801 | |
| 56 | 69.23765 | ||||
| 63 | 67.10816 | 53.88509 | 47.18790 | 57.23098 | 48.28032 |
| 64 | 74.16522 | 57.36876 | |||
| 67 | 71.17867 | 52.86495 | 50.12524 | 64.59976 | 52.71488 |
RRB JE Bilaspur

RRB JE Chandigarh

RRB JE Chennai

RRB Gorakhpur

RRB Guwahati

RRB Jammu-Srinagar

RRB Kolkata

RRB Malda

RRB Mumbai

RRB Muzaffarpur

RRB Patna

RRB Ranchi

RRB Secundrabad

RRB Siliguri

RRB Thiruvananthapuram

RRB JE Zone-wise Cut Off 2015
| Zones | Category wise Cut Off | |||
| General | OBC | SC | ST | |
| Allahabad | 61.45 | 54.42 | 47.36 | 41.32 |
| Mumbai | 61.52 | 53.19 | 41.27 | 35.46 |
| Secunderabad | 66.28 | 59.27 | 53.26 | 41.36 |
| Kolkata | 58.37 | 53.62 | 47.21 | 38.25 |
| Ahmadabad | 64.37 | 59.35 | 47.26 | 40.32 |
| Bhopal | 60.27 | 52.36 | 44.52 | 33.48 |
| Ajmer | 62.26 | 56.27 | 51.32 | 46.27 |
| Chennai | 59.27 | 46.32 | 39.36 | 34.31 |
| Bhubaneswar | 61.32 | 54.37 | 49.63 | 47.38 |
| Patna | 79.67 | 74.37 | 68.23 | 57.26 |
| Bangalore | 51.32 | 46.27 | 33.67 | 31.28 |
| Ranchi | 74.56 | 68.35 | 61.32 | 55.28 |
| Thiruvananthapuram | 51.35 | 45.34 | 37.24 | 28.36 |
| Muzaffarpur | 74.67 | 69.23 | 61.32 | 54.37 |
| Guwahati | 72.32 | 67.43 | 63.56 | 56.32 |
| Chandigarh | 70.32 | 61.43 | 54.62 | 49.21 |
| Bilaspur | 61.32 | 53.56 | 44.21 | 39.52 |
| Gorakhpur | 72.62 | 66.36 | 54.67 | 47.32 |
| Siliguri | 68.34 | 58.21 | 53.37 | 46.63 |
| Malda | 72.36 | 68.21 | 61.23 | 53.47 |
| Jammu | 63.21 | – | 47.32 | 41.27 |
RRB JE Zone-wise Cut Off 2014
| RRB Zones | Category | |||
| General | OBC | SC | ST | |
| Allahabad | 63.67 | 56.53 | 49.23 | 41.32 |
| Mumbai | 63.05 | 54.21 | 42.60 | 37.95 |
| Secunderabad | 67.72 | 61.87 | 57.73 | 46.13 |
| Kolkata | 61.50 | 53.53 | 49.07 | 30.92 |
| Ahmedabad | 67.86 | 61.91 | 49.23 | 41.10 |
| Bhopal | 61.90 | 53.31 | 41.61 | 32.16 |
| Ajmer | 69.39 | 62.93 | 59.13 | 43.74 |
| Chennai | 63.14 | 47.34 | 42.53 | 36.25 |
| Bhubaneswar | 62.91 | 57.76 | 51.09 | 48.79 |
| Patna | 78.26 | 72.46 | 61.36 | 48.32 |
| Bangalore | 53.27 | 47.32 | 36.74 | 31. 16 |
| Ranchi | 73.75 | 67.29 | 59.37 | 52.34 |
| Thiruvananthapuram | 53.21 | 47.23 | 39.63 | 26.37 |
| Muzaffarpur | 73.47 | 67.24 | 58.48 | 49.23 |
| Guwahati | 71.43 | 67.23 | 63.39 | 54.27 |
| Chandigarh | 71.23 | 63.43 | 57.32 | 49.21 |
| Bilaspur | 62.79 | 57.45 | 47.34 | 43.36 |
| Gorakhpur | 71.43 | 62.36 | 53.63 | 43.67 |
| Siliguri | 67.52 | 56.26 | 54.31 | 45.90 |
| Malda | 71.87 | 67.32 | 59.23 | 51.32 |
| Jammu | 68.72 | 50.88 | 52.27 | 38.05 |
RRB JE 2025 CBT-2
Shortlisting of Candidates after RRB JE results for CBT-1 has been declared, for the 2nd Stage CBT exam shall be based on the normalized marks obtained by them in the 1st Stage CBT Exam. Total number of candidates to be shortlisted for 2nd Stage shall be 15 times the community wise total vacancies for RRB JE recruitment 2025.
The duration of the exam would be 120 minutes (160 Minutes for eligible PwBD candidates accompanied with Scribe). The Questions will be of objective type with multiple choices and are likely to include questions pertaining to General Awareness, Physics and Chemistry, Basics of Computers and Applications, Basics of Environment and Pollution Control and Technical abilities for the post.
The syllabus for General Awareness, Physics, and Chemistry, Basics of Computers and Applications, Basics of Environment and Pollution Control is common for all notified posts under this CEN as detailed below:
General Awareness
Knowledge of Current affairs, Indian geography, culture and history of India including freedom struggle, Indian Polity, and constitution, Indian Economy, Environmental issues concerning India and the World, Sports, General scientific and technological developments, etc.
Physics and Chemistry:
Up to 10th standard CBSE syllabus.
Basics of Computers and Applications:
The architecture of Computers; input and Output devices; Storage devices, Networking, Operating System like Windows, Unix, Linux; MS Office; Various data representation; Internet and Email; Websites & Web Browsers; Computer Virus.
Basics of Environment and Pollution Control
Basics of Environment; Adverse effect of environmental pollution and control strategies; Air, water and Noise pollution, their effect and control; Waste Management, Global warming; Acid rain; Ozone depletion.
Technical Abilities
This section, aimed at testing the technical abilities for the applied post, will have questions from the relevant educational qualifications, mentioned against each post. The complete syllabus can be seen from the Annexure 7 of the complete official notification.
The section-wise Number of questions and marks for RRB JE CBT-2 are as below:
| Subjects | Stage-2 | |
| Number of questions | Marks for each section | |
| General Awareness | 15 | 15 |
| Physics and Chemistry | 15 | 15 |
| Basics of computer and applications | 10 | 10 |
| Basics of Environment and Pollution Control | 10 | 10 |
| Technical Abilities | 100 | 100 |
| Total | 150 | 150 |
| Time (in minutes) | 120 | |
RRB JE cut off for various categories for CBT-2 are: UR -40%, OBC-30%, SC-30%, ST -25%.
*Virtual calculator will be made available on the Computer Monitor during 2nd Stage CBT.
👉🏻RRB JE 2024 Response Sheet Released, Check Now
Railway New Vacancy: RRB JE Recruitment 2025 for 2588 Junior Engineer Posts
RRB JE 2025 Preparation:
MADE EASY has come up with live online classes for RRB JE 2025 which will specifically cater to the needs of the aspirants preparing for CBT 1 and CBT 2 of RRB JE 2025. This course has been designed by the Expert Faculties along with Research & Development team of MADE EASY.
For more information regarding the Live Online Classes for RRB JE 2025, click here.
Dear Aspirants, Your preparation for GATE, ESE, PSUs, and AE/JE is now smarter than ever — thanks to the MADE EASY YouTube channel. This is not just a channel, but a complete strategy for success, where you get toppers strategies, PYQ–GTQ discussions, current affairs updates, and important job-related information, all delivered by the country’s best teachers and industry experts. If you also want to stay one step ahead in the race to success, subscribe to MADE EASY on YouTube and stay connected with us on social media. MADE EASY — where preparation happens with confidence.


Most useful 🙂🙂
Dear Candidate,
Thanks for writing to us. We are glad that you liked the article. Please keep visiting our blog to get more such articles to read.
Regards,
Team MADE EASY
Sir… Give some details about postal course… Which subject it cover… Environment.. GA … Computer… Technical??
Dear Candidate,
Thanks for writing to us. The Postal Package for RRB JE 2019 CBT-2 consists of following books:
1. 15 Theory Books (Technical Subjects)
2. 1 Question Bank of 3000 questions
3. 1 Theory Book of General Awareness – Comprehensive theory supplemented with solved examples and Practice
Questions covering Indian history and culture, Geography, Indian Polity,
Indian Economy, Environment, Science and Technology, General Science,
General Knowledge & Computer.
For more information: https://madeeasypublications.org/postal/home/postal-study-package.html
Regards,
Team MADE EASY
this is raw marks or normalize marks cut off
Dear Candidate,
Thanks for writing to us. The expected cut-offs have been prepared by giving due importance to the variance in the level of difficulty of papers held in different sessions.
Regards,
Team MADE EASY
Normalized marks
Sir cbt 1 is only for qualifying or merit list will declare ????
Dear Candidate,
Thanks for writing to us. The marks obtained in the CBT-1 are just qualifying in nature for the shortlisting for the CBT-2.
Regards,
Team MADE EASY
I got 45 marks in rrb je exam ….is there any chance of qualifying for the 2nd stage
Dear Candidate,
Thanks for writing to us. The cut-off of the CBT-1 will be just to screen students for the CBT-2 and the cut-off for CBT-2 will be decided based on the level of questions and number of students appearing.
For the most authentic study material for RRB JE CBT-2, please click on the following link.
https://madeeasypublications.org/postal/home/postal-study-package.html
Regards,
Team MADE EASY
It’s only for qualifying
Only qualifies
Sir What will be a safe score out of 100 in RRB JE CBT-1 ? IS THERE ANY PREDICTION OF CUTT OFF??
Dear Candidate,
Thanks for writing to us. Minimum percentage of marks for eligibility in various categories: UR -40%, OBC-30%, SC-30%, ST -25%.This is the minimum percentage that a candidate has to obtain in order to be eligible for shortlisting. However, the final cut-off will depend on the overall normalized score of all candidates and the number of vacancies.
Regards,
Team MADE EASY
Thnq sir…mini qualifying marks???
Dear Candidate,
Thanks for writing to us. Minimum percentage of marks for eligibility in various categories: UR -40%, OBC-30%, SC-30%, ST -25%.This is the minimum percentage that a candidate has to obtain in order to be eligible for shortlisting. However, the final cut-off will depend on the overall normalized score of all candidates and the number of vacancies.
Regards,
Team MADE EASY
What is the cut off for rrb CBT 1
Dear Candidate,
Thanks for writing to us. Minimum percentage of marks for eligibility in various categories: UR -40%, OBC-30%, SC-30%, ST -25%.This is the minimum percentage that a candidate has to obtain in order to be eligible for shortlisting. However, the final cut-off will depend on the overall normalized score of all candidates and the number of vacancies.
Regards,
Team MADE EASY
Sir
Do I just need to score above 40% in CBT 1 or any specific cutoff will be decided later on for screening purpose?
Dear Candidate,
Thanks for writing to us. Minimum percentage of marks for eligibility in various categories: UR -40%, OBC-30%, SC-30%, ST -25%.This is the minimum percentage that a candidate has to obtain in order to be eligible for shortlisting. However, the final cut-off will depend on the overall normalized score of all candidates and the number of vacancies.
Regards,
Team MADE EASY
in final merit, the marks of both cbt1 and 2 will include?
Dear Candidate,
Thanks for writing to us. The normalized score of CBT-1 will only be used for shortlisting aspirants for CBT-2. The normalized score obtained in CBT-2 will be used for the shortlisting of candidates for the Document Verification.
Regards,
Team MADE EASY
Sir will this cbt1 marks will be counted combinedly for selection after cbt2 exam
Dear Candidate,
Thanks for writing to us. Minimum percentage of marks for eligibility in various categories: UR -40%, OBC-30%, SC-30%, ST -25%.This is the minimum percentage that a candidate has to obtain in order to be eligible for shortlisting. However, the final cut-off will depend on the overall normalized score of all candidates and the number of vacancies.
Regards,
Team MADE EASY
what is the last date of rrb je 2019… my admit card haven’t generated yet… ??
Dear Candidate,
Thanks for writing to us. The admit cards have been released for the candidates whose exam is scheduled on 22nd May, 2019. For more information and to download your admit card, visit the following link:
https://mumbai.rrbonlinereg.in/cbt_exam.html
Regards,
Team MADE EASY
Sir if I will get 40% in CBT 1 then surely qualified for cbt2
Dear Candidate,
Thanks for writing to us. Minimum percentage of marks for eligibility in various categories: UR -40%, OBC-30%, SC-30%, ST -25%.This is the minimum percentage that a candidate has to obtain in order to be eligible for shortlisting. However, the final cut-off will depend on the overall normalized score of all candidates and the number of vacancies.
Regards,
Team MADE EASY
Dear Candidate,
Thanks for writing to us. The minimum percentage of marks for eligibility in various categories: UR -40%, OBC-30%, SC-30%, ST -25%.This is the minimum percentage that a candidate has to obtain in order to be eligible for shortlisting. However, the final cut-off will depend on the overall normalized score of all candidates and the number of vacancies.
Regards,
Team MADE EASY
Dear sir will made easy start RRB JE CBT 2 BATCH FOR ECE…..AFTER 2ND JUNE…means after completing CBT 1 OF RRB JE….???PLEASE START
Dear Candidate,
Thanks for writing to us. We don’t have any classroom programs for RRB JE as of now. Please keep visiting our official website https://www.madeeasy.in/ to get all the latest updates.
Regards,
Team MADE EASY
Sir,approximately after how many days Stage 2 exams will be coming and what will be the tentative date for overall result?
Dear Candidate,
Thanks for writing to us. The dates for CBT-2 have not yet been disclosed. Please keep visiting our official website for any further updates:
https://www.madeeasy.in/
Regards,
Team MADE EASY
Thank you sir,
When will be the rrb he exam results
Dear Candidate,
Thanks for writing to us. The dates for the results have not been announced. Pleas keep visit our official website https://www.madeeasy.in/ to keep getting all the latest information.
Regards,
Team MADE EASY
what will be the minimum time gap between cbt1 and cbt2 for rrb je. any idea?
thanks in advance..
Dear Ramesh,
Thanks for writing to us. The dates of the CBT-2 have not been announced yet. Please keep visiting our official website https://www.madeeasy.in/ to get all the latest updates.
Regards,
Team MADE EASY
Sir recently rrb je answer key released according to that answer key my score is 34 is there any chances for shortlist for rrb je CBT 2
Dear Candidate,
Thanks for writing to us. The cut-off of the CBT-1 will be just to screen students for the CBT-2 and the cut-off for CBT-2 will be decided based on the level of questions and number of students appearing.
For the most authentic study material for RRB JE CBT-2, please click on the following link.
https://madeeasypublications.org/postal/home/postal-study-package.html
Regards,
Team MADE EASY
Sir tell something about the cutoff marks for mumbai zone. I am getting 57 here. 2nd June 1st Shift.
Dear Candidate,
Thanks for writing to us. The cut-off has been updated in the article. Please have a look and streamline your preparation accordingly.
For the most authentic study material for RRB JE CBT-2, please click on the following link.
https://madeeasypublications.org/postal/home/postal-study-package.html
Regards,
Team MADE EASY
I got 40% will i qualify for cbt 2 obc category
Dear Candidate,
Thanks for writing to us. The cut-off has been updated in the article. Please have a look and streamline your preparation accordingly.
For the most authentic study material for RRB JE CBT-2, please click on the following link.
https://madeeasypublications.org/postal/home/postal-study-package.html
Regards,
Team MADE EASY
My score in rrb he cbt1 is 78. My exam was on 28 June slot 1. I have applied in rrb Kolkata and from mechanical engineering branch. What are the chances of qualifying.
Dear Candidate,
Thanks for writing to us. The cut-off has been updated in the article. Please have a look and streamline your preparation accordingly.
For the most authentic study material for RRB JE CBT-2, please click on the following link.
https://madeeasypublications.org/postal/home/postal-study-package.html
Regards,
Team MADE EASY
Dear sir iam pH category my marks is CBT 1is 41 can I start CBT 2 preparation for rent Mumbai and my stream is Electronic
Dear Candidate,
Thanks for writing to us. The cut-off has been updated in the article. Please have a look and streamline your preparation accordingly.
For the most authentic study material for RRB JE CBT-2, please click on the following link.
https://madeeasypublications.org/postal/home/postal-study-package.html
Regards,
Team MADE EASY
Yes please
What can be JE(cutoff range) for electrical secundrabad for CBT1 based on previous cutoff?
Dear Candidate,
Thanks for writing to us. The cut-off has been updated in the article. Please have a look and streamline your preparation accordingly.
For the most authentic study material for RRB JE CBT-2, please click on the following link.
https://madeeasypublications.org/postal/home/postal-study-package.html
Regards,
Team MADE EASY
rrb had released the key list of CBT 1 recently and i scored 45 marks and i belongs to obc category .
am I eligible for cbt 2?
also mention the cut off marks!!!
Dear Candidate,
Thanks for writing to us. The cut-off has been updated in the article. Please have a look and streamline your preparation accordingly.
For the most authentic study material for RRB JE CBT-2, please click on the following link.
https://madeeasypublications.org/postal/home/postal-study-package.html
Regards,
Team MADE EASY
My score in rrb je cbt 1 is 78. My exam was on 28 June slot 1. I have applied in rrb Kolkata and belong to mechanical engineering. What are the chances of qualifying.
Dear Candidate,
Thanks for writing to us. The cut-offs are tentative in nature and can vary depending upon various factors. We advice you to keep up with your preparation and stay ahead in your game.
For the most authentic study material for RRB JE CBT-2, please click on the following link.
https://madeeasypublications.org/postal/home/postal-study-package.html
Regards,
Team MADE EASY
I got 37 marks rrb je.Am l eligible for cbt 2 (obc )
Dear Candidate,
Thanks for writing to us. The cut-off of the CBT-1 will be just to screen students for the CBT-2 and the cut-off for CBT-2 will be decided based on the level of questions and number of students appearing.
For the most authentic study material for RRB JE CBT-2, please click on the following link.
https://madeeasypublications.org/postal/home/postal-study-package.html
Regards,
Team MADE EASY
Sir I m getting 45 marks in key but correct. Is there any chance
Dear Candidate,
Thanks for writing to us. The cut-offs are tentative in nature and can vary depending upon various factors. We advice you to keep up with your preparation and stay ahead in your game.
For the most authentic study material for RRB JE CBT-2, please click on the following link.
https://madeeasypublications.org/postal/home/postal-study-package.html
Regards,
Team MADE EASY
I am made easy previous year gate classroom student, i am getting 60.33 marks from ranchi zone, is there any chance of getting selected in cbt1.
Dear Candidate,
Thanks for writing to us. The cut-offs are tentative in nature and can vary depending upon various factors. We advice you to keep up with your preparation and stay ahead in your game.
For the most authentic study material for RRB JE CBT-2, please click on the following link.
https://madeeasypublications.org/postal/home/postal-study-package.html
Regards,
Team MADE EASY
Hello Madeeasy team Can you use CBT1 proper analysis as you after Gate exam .
Then it will help those students which are on boundary like me “50.66 marks” RRBJE ECE RANCHI ZONE UR
2 June 3 rd Shift.
And then we calmly start for CBT2 .
And make maximum benefits from your courses.
Hope you understand.
Dear Candidate,
Thanks for writing to us. The cut-offs are tentative in nature and can vary depending upon various factors. We advice you to keep up with your preparation and stay ahead in your game.
For the most authentic study material for RRB JE CBT-2, please click on the following link.
https://madeeasypublications.org/postal/home/postal-study-package.html
Regards,
Team MADE EASY
Quit useful thanks for your efforts
Dear Candidate,
Thanks for writing to us. We are glad to know that you found the article useful. Please keep visiting our blog to get more useful content like this.
For the most authentic study material for RRB JE CBT-2, please click on the following link.
https://madeeasypublications.org/postal/home/postal-study-package.html
Regards,
Team MADE EASY
Hi, I just wanted to know which books are included in postal study course for CBT 2
Dear Candidate,
Thanks for writing to us. The Postal Package for RRB JE 2019 CBT-2 consists of following books:
1. 15 Theory Books (Technical Subjects)
2. 1 Question Bank of 3000 questions
3. 1 Theory Book of General Awareness – Comprehensive theory supplemented with solved examples and Practice
Questions covering Indian history and culture, Geography, Indian Polity,
Indian Economy, Environment, Science and Technology, General Science,
General Knowledge & Computer.
For more information: https://madeeasypublications.org/postal/home/postal-study-package.html
Regards,
Team MADE EASY
Sir, RRB JE CBT 2 postal package consist of only technical syllabus notes or full CBT 2 syllabus, please reply.
Dear Candidate,
Thanks for writing to us. The Postal Package for RRB JE 2019 CBT-2 consists of following books:
1. 15 Theory Books (Technical Subjects)
2. 1 Question Bank of 3000 questions
3. 1 Theory Book of General Awareness – Comprehensive theory supplemented with solved examples and Practice
Questions covering Indian history and culture, Geography, Indian Polity,
Indian Economy, Environment, Science and Technology, General Science,
General Knowledge & Computer.
For more information: https://madeeasypublications.org/postal/home/postal-study-package.html
Regards,
Team MADE EASY
Raw marks 51
22 may shift 4:00 to 5:30 pm
Any chance for cbt 1?
Dear Candidate,
Thanks for writing to us. The cut-off of the CBT-1 will be just to screen students for the CBT-2 and the cut-off for CBT-2 will be decided based on the level of questions and number of students appearing.
For the most authentic study material for RRB JE CBT-2, please click on the following link.
https://madeeasypublications.org/postal/home/postal-study-package.html
Regards,
Team MADE EASY
Raw marks 51
Shift 4:00 pm to 5:30 pm
Any chance for cbt 2 ?
Zone jammu
Dear Candidate,
Thanks for writing to us. The cut-offs are tentative in nature and can vary depending upon various factors. We advice you to keep up with your preparation and stay ahead in your game.
For the most authentic study material for RRB JE CBT-2, please click on the following link.
https://madeeasypublications.org/postal/home/postal-study-package.html
Regards,
Team MADE EASY
Thankyou madeeasy team for providing expected cut off .. i was classroom student and will easily pass CBT -1 exam
Dear Candidate,
Thanks for writing to us. We are glad that you liked our article. You can stay ahead in the game by following the Study Material prepared by our team.
For the most authentic study material for RRB JE CBT-2, please click on the following link.
https://madeeasypublications.org/postal/home/postal-study-package.html
Regards,
Team MADE EASY
these cut off are after normalizetion or before???
Dear Candidate,
Thanks for writing to us. The expected cut-offs have been prepared by giving due importance to the variance in the level of difficulty of papers held in different sessions.
Regards,
Team MADE EASY
Can i able to purchase postal pkg offline at near made easy office?
Is there any discount for ex-student?
Dear Candidate,
Thanks for writing to us. Please call on the following contact number for detail explanation regarding the same.
Contact: 011-45124612, 09958995830, 09810541651
Regards,
Team MADE EASY
Is 54 in cbt1 is a safe score for general category in Rrb bhubaneswar in electronics? Exam was on rescheduled date I.e. 26th June 2019
Dear Candidate,
Thanks for writing to us. The cut-off of the CBT-1 will be just to screen students for the CBT-2 and the cut-off for CBT-2 will be decided based on the level of questions and number of students appearing.
For the most authentic study material for RRB JE CBT-2, please click on the following link.
https://madeeasypublications.org/postal/home/postal-study-package.html
Regards,
Team MADE EASY
When we can expect final result of cbt1 rrb je Chennai?
Dear Candidate,
Thanks for writing to us. We will surely inform you as and when the results are out. Please keep visit our official website for any further notification regarding the same: https://www.madeeasy.in/
Regards,
Team MADE EASY
Sir it is very useful but sir my raw mark is 43 obc category what are my chances to qualify for cbt 2 exam please reply sir
Dear Candidate,
Thanks for writing to us. The cut-off of the CBT-1 will be just to screen students for the CBT-2 and the cut-off for CBT-2 will be decided based on the level of questions and number of students appearing.
For the most authentic study material for RRB JE CBT-2, please click on the following link.
https://madeeasypublications.org/postal/home/postal-study-package.html
Regards,
Team MADE EASY
Sir/mam,
I attend 60 questions in that 46 are correct so I got 41 marks out of 60. But I have one doubt that is may I clear this CBT 1 test or not. Please help me(I am coming under OBC category).
Dear Candidate,
Thanks for writing to us. The cut-off of the CBT-1 will be just to screen students for the CBT-2 and the cut-off for CBT-2 will be decided based on the level of questions and number of students appearing.
For the most authentic study material for RRB JE CBT-2, please click on the following link.
https://madeeasypublications.org/postal/home/postal-study-package.html
Regards,
Team MADE EASY
What are any special book for relese rrb je CBT 2
Mechanical engineering
Dear Candidate,
Thanks for writing to us. The Postal Package for RRB JE 2019 CBT-2 consists of following books:
1. 15 Theory Books (Technical Subjects)
2. 1 Question Bank of 3000 questions
3. 1 Theory Book of General Awareness – Comprehensive theory supplemented with solved examples and Practice
Questions covering Indian history and culture, Geography, Indian Polity,
Indian Economy, Environment, Science and Technology, General Science,
General Knowledge & Computer.
For more information: https://madeeasypublications.org/postal/home/postal-study-package.html
Regards,
Team MADE EASY
Sir please explain about normalization of marks? Why normalization is done? Will it increase/decrease original marks obtained?
Dear Candidate,
Thanks for writing to us. The normalization is done to bridge the gap between the variation in difficulty levels across various sessions. It also takes into account the number of students appearing in each session. The change in final score after normalization is subject to the aforementioned parameters.
Regards,
Team MADE EASY
Is the expected cut off marks are normalised or raw marks?
Dear Candidate,
Thanks for writing to us. The expected cut-offs have been prepared by giving due importance to the variance in the level of difficulty of papers held in different sessions.
Regards,
Team MADE EASY
SIR
I got 53 UR category marks in CBT 1 on conducting exam 27 may 2nd sitting in Kolkata RRB.
Should I prepared for Cbt2 exam otherwise I will go for next exam.
Pls comment on my post.
Dear Candidate,
Thanks for writing to us. The cut-off of the CBT-1 will be just to screen students for the CBT-2 and the cut-off for CBT-2 will be decided based on the level of questions and number of students appearing.
For the most authentic study material for RRB JE CBT-2, please click on the following link.
https://madeeasypublications.org/postal/home/postal-study-package.html
Regards,
Team MADE EASY
Respected sir, is this expected marks of 2019 je CBT 1 includes normalisation or not?
Dear Candidate,
Thanks for writing to us. The expected cut-offs have been prepared by giving due importance to the variance in the level of difficulty of papers held in different sessions.
Regards,
Team MADE EASY
54 UR 2 June 2nd shift chances of clear cut 1
RRB Ajmer raw marks 54 SC..now in cbt 2 how many marks should be my target ?
Dear Candidate,
Thanks for writing to us. The cut-off of the CBT-1 will be just to screen students for the CBT-2 and the cut-off for CBT-2 will be decided based on the level of questions and number of students appearing.
For the most authentic study material for RRB JE CBT-2, please click on the following link.
https://madeeasypublications.org/postal/home/postal-study-package.html
Regards,
Team MADE EASY
Sir, I belongs to General Category and i m Getting 58+ marks…should I start Preparing for 2nd stage exam???
Dear Candidate,
Thanks for writing to us. The cut-offs are tentative in nature and may change depending on various factors. However, it is highly advisable to keep going with your preparation and take an edge over your competitors.
For the most authentic study material for RRB JE CBT-2, please click on the following link.
https://madeeasypublications.org/postal/home/postal-study-package.html
Regards,
Team MADE EASY
Sir what does the postal study package for rrb je electrical include ? What are the books ?
Dear Candidate,
Thanks for writing to us. The Postal Package for RRB JE 2019 CBT-2 consists of following books:
1. 15 Theory Books (Technical Subjects)
2. 1 Question Bank of 3000 questions
3. 1 Theory Book of General Awareness – Comprehensive theory supplemented with solved examples and Practice
Questions covering Indian history and culture, Geography, Indian Polity,
Indian Economy, Environment, Science and Technology, General Science,
General Knowledge & Computer.
For more information: https://madeeasypublications.org/postal/home/postal-study-package.html
Regards,
Team MADE EASY
Is the expected cut off marks are raw marks or normalised marks?
Dear Candidate,
Thanks for writing to us. The expected cut-offs have been prepared by giving due importance to the variance in the level of difficulty of papers held in different sessions.
Regards,
Team MADE EASY
Sir I got 54.66 UR category secunderabad. What are my chances
Dear Candidate,
Thanks for writing to us. The cut-offs are tentative in nature and can vary depending upon various factors. We advice you to keep up with your preparation and stay ahead in your game.
For the most authentic study material for RRB JE CBT-2, please click on the following link.
https://madeeasypublications.org/postal/home/postal-study-package.html
Regards,
Team MADE EASY
My marks is 50.77 from Kolkata zone in rrb je cbt 1 .can we get to chance for shortlisting for cbt 2.
Dear Candidate,
Thanks for writing to us. The cut-offs are tentative in nature and can vary depending upon various factors. We advice you to keep up with your preparation and stay ahead in your game.
For the most authentic study material for RRB JE CBT-2, please click on the following link.
https://madeeasypublications.org/postal/home/postal-study-package.html
Regards,
Team MADE EASY
Hello Sir… Whether the expected cut off marks is raw marks or it is after normalisation… Can you please clarify
Dear Candidate,
Thanks for writing to us. The expected cut-offs have been prepared by giving due importance to the variance in the level of difficulty of papers held in different sessions.
Regards,
Team MADE EASY
Are the theory book for technical subject which were given to batch student for ese and gate and rrb je postal course different?
Dear Candidate,
Thanks for writing to us. The theory books have been specifically designed for the RRB JE 2019 CBT-2.
Regards,
Team MADE EASY
merit base par
Sir/ Madam.. With due respect. I want to know when will be the online test series of made easy for cbt 2 coming to market?
Dear Candidate,
Thanks for writing to us. Pleas click on the link given below to get the relevant details about the test series for RRB JE 2019 CBT-2.
https://onlinetestseriesmadeeasy.in/rrb2019/rrb
Regards,
Team MADE EASY
Sir, I got 56 marks(Obc Ncl) in CBT 1 ( CE) Secunderabad zone
Can I have choice to be in cutoff to prepare for cbt2
Or
Prepare for SSC je
Because I wanted to take only one postal package
I can’t afford for both
Sir, above you provided the expected cutoff for rrbje 2019 cbt1.that is raw marks or normalised marks?
Dear Candidate,
Thanks for writing to us. The expected cut-offs have been prepared by giving due importance to the variance in the level of difficulty of papers held in different sessions.
Regards,
Team MADE EASY
Sir my no. Out of 100 in 52 no. Qualify cbt2 sir
Dear sir,
I have qualified for cbt 2. What was previous year cutoff marks in cbt 2 for being eligible for document verification?